聚类算法——DBSCAN算法原理及公式

聚类的定义

聚类就是对大量未知标注的数据集,按数据的内在相似性将数据集划分为多个类别,使类别内的数据相似度较大而类别间的数据相似度较小。聚类算法是无监督的算法。
常见的相似度计算方法
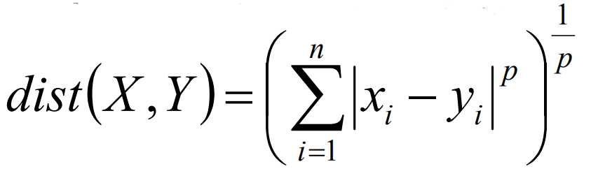
闵可夫斯基距离Minkowski/欧式距离

在上述的计算中,当p=1时,则是计算绝对值距离,通常叫做曼哈顿距离,当p=2时,表述的是欧式距离。

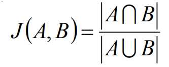
杰卡德相似系数(Jaccard)

杰卡德相关系数主要用于描述集合之间的相似度,在目标检测中,iou的计算就和此公式相类似

余弦相似度

 余弦相似度通过夹角的余弦来描述相似性

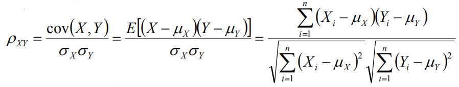
Pearson相似系数

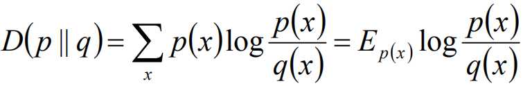
相对熵(K-L距离)

相对熵的相似度是不对称的相似度,D(p||q)不一定等于D(q||p)。

聚类的基本思想

给定一个有N个对象的数据集,划分聚类的技术将构造数据的K个划分,每个划分代表一个簇,K<=n。也就是说,聚类将数据划分为k个簇,而且这k个划分满足下列条件:

每个簇至少包含一个对象,每一个对象属于且仅属于一个簇。

具体的步骤为,对于给定的k,算法首先给出一个初始的划分方法。以后通过反复迭代的方法改变划分,使得每一次改进之后的划分方案都较前一次更好。

密度聚类

密度聚类方法的指导思想是,只要一个区域中的点的密度大于某个阈值,就把它加到与之相近的聚类中去。这类算法能够克服基于距离的算法只能发现“类圆形”的聚类的缺点,可以发现任意形状的聚类,且对噪声数据不敏感。但计算密度单元的计算复杂度大,需要建立空间索引来降低计算量。

DBSCAN算法

DBSCAN是一个比较有代表性的基于密度聚类的聚类算法,它对簇的定义为密度相连的点的最大集合,能够把具有足够高密度的区域划分为簇,并可在有噪声的数据中发现任意形状的聚类。

DBSCAN相关定义

对象的ε-邻域:给定对象在半径ε内的区域。

核心对象:对于给定的数据m,如果一个对象的ε-邻域至少包含有m个对象,则成为该对象的核心对象。

直接密度可达:给定一个对象集合D,如果p是在q的ε-邻域内,而q是一个核心对象,则对象p从对象q出发是直接密度可达的。

密度可达:如果存在一个对象链p1p2···pn,p1=q,pn=p,对pi属于D,pi+1是从pi关于ε和m直接密度可达的,则对象p是从对象q关于ε和m密度可达的。

密度相连:如果对象集合D中存在一个对象o,使得对象p和q是从o关于ε和m密度可达的,那么对象p和q是关于ε和m密度相连的。

簇:一个基于密度的簇是最大的密度相连对象的集合。

噪声:不包含在任何簇中的对象称为噪声。

DBSCAN通过检查数据集中的每个对象的ε-邻域来寻找聚类,如果一个点p的ε-邻域包含对于m个对象,则创建一个p作为核心对象的新簇。然后,DBSCAN反复地寻找这些核心对象直接密度可达的对象,这个过程可能涉及密度可达簇的合并。当没有新的点可以被添加到任何簇时,该过程结束。算法的中ε和m是根据先验知识来给出的。

 

 

相关文章